ven varhcer

Das Verfahren Der Fraktionierten Destillation

Fraktion Von Erdol Youtube Das Verfahren Der Fraktionierten Destillation
www.youtube.com

Ppt Philipps Universitat Marburg Fachbereich Chemie 15 Das Verfahren Der Fraktionierten Destillation
www.slideserve.com

Die Zusammensetzung Des Erdols Chemie Schule Das Verfahren Der Fraktionierten Destillation
www.chemie-schule.de

Fraktionierte Destillation Des Roholdiagramms Vektor Abbildung Das Verfahren Der Fraktionierten Destillation
de.dreamstime.com

Erdol Und Erdolverarbeitung Das Verfahren Der Fraktionierten Destillation
www.seilnacht.com

Erdol Und Erdolverarbeitung Das Verfahren Der Fraktionierten Destillation
www.seilnacht.com

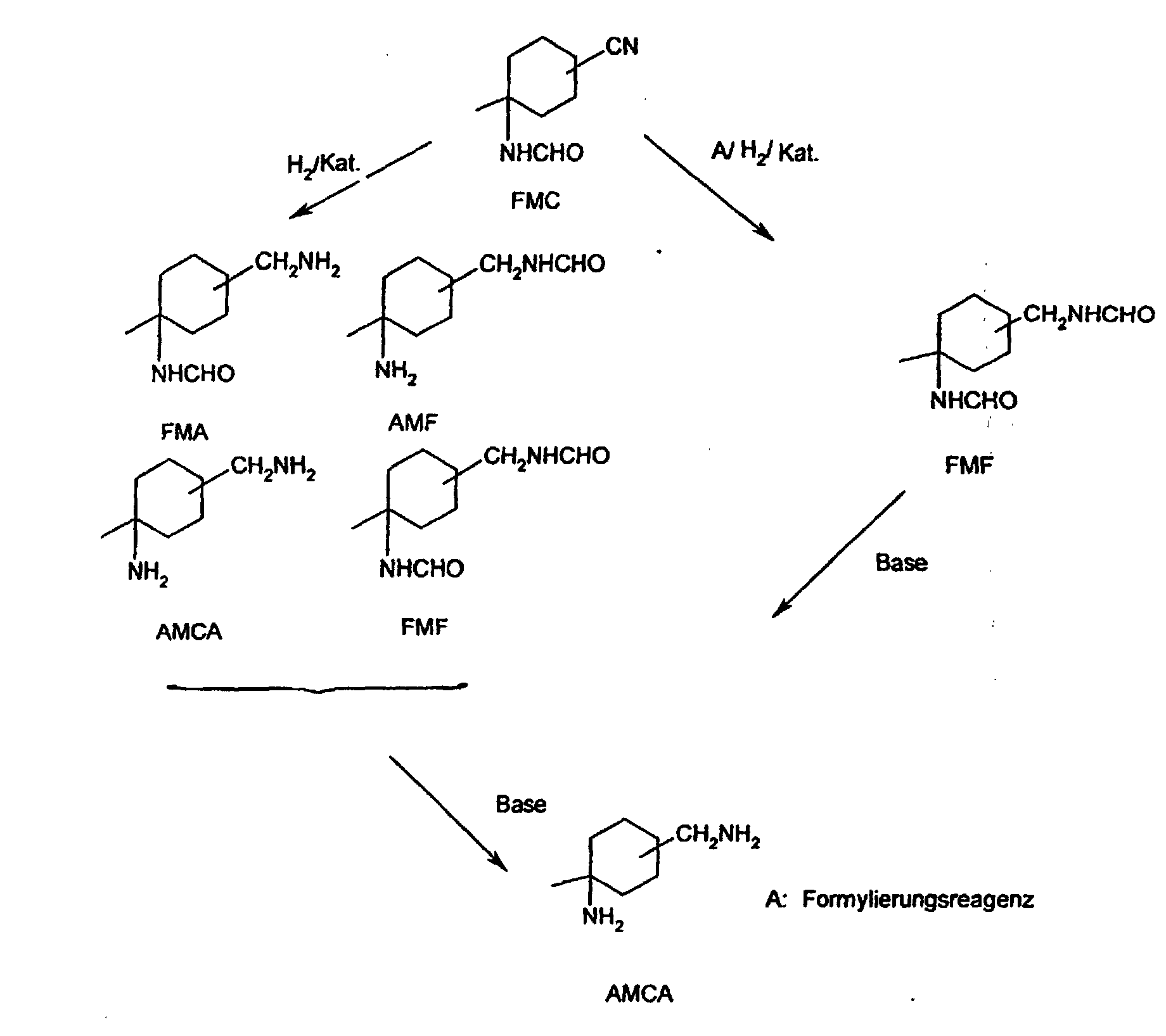
Ep0866052b1 Verfahren Zur Herstellung Von 1 Amino 1 Methyl 3 4 Das Verfahren Der Fraktionierten Destillation
patents.google.com

Fraktionierte Destillation Das Verfahren Der Fraktionierten Destillation
deacademic.com

Wie Kann Man Erklaren Dass Alkohol Und Wasser Durch Destillation Das Verfahren Der Fraktionierten Destillation
www.gutefrage.net

Destillation Wikipedia Das Verfahren Der Fraktionierten Destillation
de.wikipedia.org

More from Das Verfahren Der Fraktionierten Destillation