ven varhcer

Verfahren Eingestellt Italiano

The Scientology Religion In Austria Verfahren Eingestellt Italiano
www.scientologyreligion.org

Der Konig Ist Tot Verfahren Eingestellt Italiano
www.swiss-architects.com

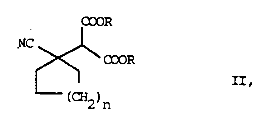
Ep0414275b1 Process For The Preparation Of Cyclic Aminoacid Verfahren Eingestellt Italiano
patents.google.com

Rechtsanwalt Onur Ozata Photos Facebook Verfahren Eingestellt Italiano
www.facebook.com

Person Holding Tablet Computer Showing Videos Free Stock Photo Verfahren Eingestellt Italiano
www.pexels.com

Ep0414275b1 Process For The Preparation Of Cyclic Aminoacid Verfahren Eingestellt Italiano
patents.google.com

2 Verfahren Eingestellt Italiano

Sharp Cd Dp900h Specifications Manualzz Verfahren Eingestellt Italiano
manualzz.com

Istruzioni In Italiano Disponibili Su Www Wunderlich De Manuals Verfahren Eingestellt Italiano
www.yumpu.com

Oliver Von Dobrowolski On Twitter Ich Wurde Letztes Jahr Von Verfahren Eingestellt Italiano
twitter.com

More from Verfahren Eingestellt Italiano