ven varhcer

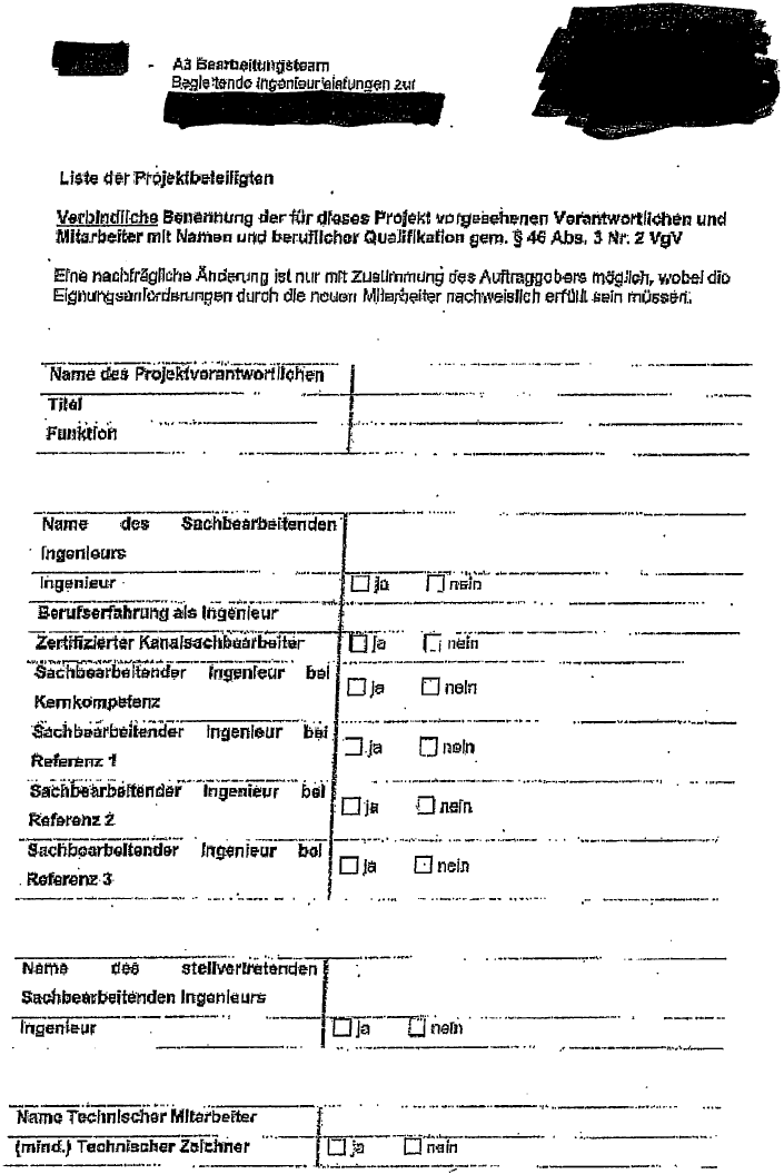
Vgv Verfahren Referenzschreiben

Https Www Bochum De Media Amtsblatt 47 2019 Vom 25 November 2019 Vgv Verfahren Referenzschreiben

2 Vgv Verfahren Referenzschreiben

Ergebnis Sbh Vgv Vv 012 17 Pp Ersatzneubau Und Sani Competitionline Vgv Verfahren Referenzschreiben
www.competitionline.com

Https Www Bochum De Media Amtsblatt 47 2019 Vom 25 November 2019 Vgv Verfahren Referenzschreiben

2 Vgv Verfahren Referenzschreiben

Http Www Stalu Mv De Static Stalu Stalu 20wm Inhalte Themen Wasser 20und 20boden Bewerbermappe Pdf Vgv Verfahren Referenzschreiben

Tipps Und Tricks Fur Vgv Verfahren Deutsche Bauzeitschrift Vgv Verfahren Referenzschreiben
www.dbz.de

2 Vgv Verfahren Referenzschreiben

Vergabekammer Ansbach Beschluss V 09 01 2018 Rmf Sg21 3194 02 Vgv Verfahren Referenzschreiben
www.gesetze-bayern.de

Tipps Und Tricks Fur Vgv Verfahren Deutsche Bauzeitschrift Vgv Verfahren Referenzschreiben
www.dbz.de

More from Vgv Verfahren Referenzschreiben